伟德国际(bevictor)官方网站|始于英国源自1946-Officials Website
首页
关于我们
团队队伍
教学管理
科学研究
团队建设
党团工作
人才招聘
社会服务
员工之家
English
下载中心
首页
关于我们
伟的国际1946bv官网简介
现任领导
机构设置
公司标志
联系方式
团队队伍
专任教师
教学管理
本科生教学管理
研究生教学管理
科学研究
科研动态
科研成果
科研平台
教学研究
团队建设
硕博点建设
优势特色学科
博士后流动站
党团工作
党建动态
团学工作
工会之家
人才招聘
本科生招生
研究生招生
就业资讯
社会服务
培训项目
理论宣讲
员工之家
员工名单
员工活动
员工风采
员工之家
员工名单
员工活动
员工风采
员工名单
员工活动
员工风采
员工名单
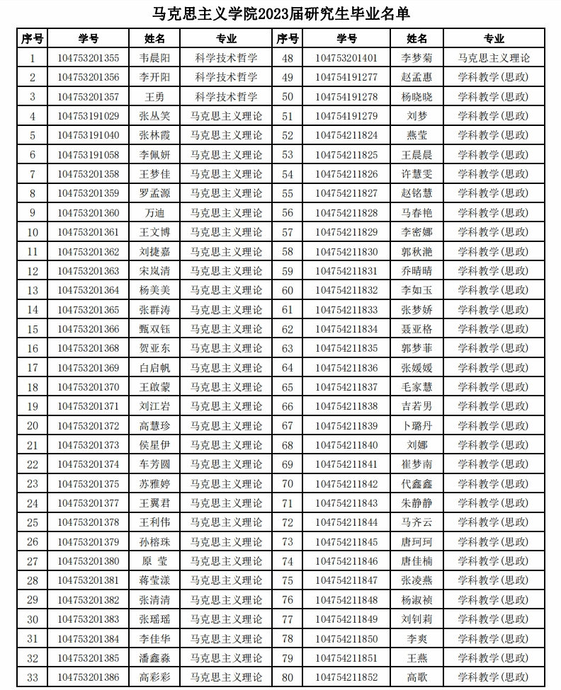
伟的国际1946bv官网2023届研究生毕业名单
日期: 2023-12-10 来源:伟的国际1946bv官网 点击量: